Lompat ke konten Lompat ke sidebar Lompat ke footer

Soal Latihan Limit Fungsi : Soal Soal Latihan Limit Fungsi Aljabar / Tentukan nilai dari = … pembahasannya:

Soal Latihan Limit Fungsi : Soal Soal Latihan Limit Fungsi Aljabar / Tentukan nilai dari = … pembahasannya:. Pada pelajaran matematika, limit biasanya mulai dipelajari saat pengenalan terhadap kalkulus, dan untuk memahami konsep limit secara menyeluruh bukan sesuatu yang mudah untuk dilakukan. Identitas trigonometri yang digunakan adalah cosinus sudut rangkap, seperti terlihat pada persamaan di bawah. Limit g(x) pada saat x mendekat 2 ialah 0.4 (sama seperti f(x), namun : g tidak kontinyu pada titik x= 2. Perlu kita ingat, bahwa kalimat sebelumnya berlaku, meskipun f(c) l. Bagaimana cara menentukan nilai limit fungsi?

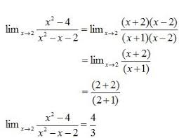
Soal yang diberikan pada soal dikerjakan dengan kombinasi pemfaktoran dan memanipulasi dengan identitas trigonometri. Kita kerjakan dengan menggunakan rumus: Ingat, tadi untuk latihan kali ini kita akan menggunakan tiga cara seperti yang sudah saya jabarkan di atas, mulai dari substitusi langsung, memfaktorkan dan terakhir dengan mengalikan dengan faktor sekawannya. 1 4 2 lim 3 2 = + − → x x x jawab : See full list on rumusbilangan.com

Kumpulan Soal Limit Fungsi Trigonometri Idschool
Kumpulan Soal Limit Fungsi Trigonometri Idschool from idschool.net
Tentukanlah nilai dari = … pembahasannya: Untuk soal limit fungsi trigonometri, dipisahkan pada pos lain karena soalnya akan terlalu banyak bila ditumpuk menjadi satu. Maka sama dengan f(x) dapat dibuat agar mempunyai nilai sedekat mungkin dengan l dengan cara membuat nilai x dekat dengan c. Aug 25, 2019 · 120 soal dan pembahasan limit fungsi trigonometri 1. Buat kamu yang sedang mendalami materi seputar limit fungsi aljabar maka tentu saja membutuhkan sebuah simulasi dan latihan soal yang berkelanjutan sehingga nanti akan semakin ahli tentu saja. Bahkan, fungsi pada f(x) tidak perlu terdefinisikan lagi pada titik c. Tentukanlah sebuah nilai dari = … pembahasannya: Berikut adalah kedua contoh dibawah ini yang menggambarkan sifat.

Hasilnya= 10/5 = 2 5.

Hasilnya = 2/4 = 1/2 4. Aug 25, 2019 · 120 soal dan pembahasan limit fungsi trigonometri 1. Pada contoh diatas, limit dari f(x) apabila x mendekati c, yaitu l. Maka sama dengan f(x) dapat dibuat agar mempunyai nilai sedekat mungkin dengan l dengan cara membuat nilai x dekat dengan c. Apabila f(x) merupakan fungsi real dan cadalah bilangan real, maka bentuk rumusnya yaitu: Limit g(x) pada saat x mendekat 2 ialah 0.4 (sama seperti f(x), namun : g tidak kontinyu pada titik x= 2. Kita kerjakan dengan menggunakan rumus: Tentukanlah sebuah nilai dari = … pembahasannya: Pada pelajaran matematika, limit biasanya mulai dipelajari saat pengenalan terhadap kalkulus, dan untuk memahami konsep limit secara menyeluruh bukan sesuatu yang mudah untuk dilakukan. Semoga bermanfaat … sumber : Limitdidalam konsep ilmu matematik biasa digunakan untuk menjelaskan suatu sifat dari suatu fungsi, saat agumen telah mendekati pada suatu titik tak terhingga atau sifat dari suatu barisan saat indeks mendekati tak hingga. See full list on rumusbilangan.com Atau bisa juga diambil contoh di mana f(x) tidak ter.

1 4 2 lim 3 2 = + − → x x x jawab : Limitdidalam konsep ilmu matematik biasa digunakan untuk menjelaskan suatu sifat dari suatu fungsi, saat agumen telah mendekati pada suatu titik tak terhingga atau sifat dari suatu barisan saat indeks mendekati tak hingga. Hasilnya = 2/4 = 1/2 4. Hasilnya = 6/5 2. tentukan nilai dari: = … pembahasannya: Tentukan nilai dari = … pembahasannya:

Contoh Soal Dan Pembahasan Tentang Limit Ajar Hitung
Contoh Soal Dan Pembahasan Tentang Limit Ajar Hitung from 2.bp.blogspot.com
Bagaimana cara menentukan nilai limit fungsi? Apabila f(x) merupakan fungsi real dan cadalah bilangan real, maka bentuk rumusnya yaitu: 0 8 1 4 4 1 4 2 lim 3 2 = + − = + − → x x x 2. Namun, kasus ini tidak selalu berlaku. Perlu kita ingat, bahwa kalimat sebelumnya berlaku, meskipun f(c) l. Pada pelajaran matematika, limit biasanya mulai dipelajari saat pengenalan terhadap kalkulus, dan untuk memahami konsep limit secara menyeluruh bukan sesuatu yang mudah untuk dilakukan. Limit fungsi aljabar yang akan kita bahas adalah limit bentuk tertentu dan limit bentuk tak tentu. Limitdidalam konsep ilmu matematik biasa digunakan untuk menjelaskan suatu sifat dari suatu fungsi, saat agumen telah mendekati pada suatu titik tak terhingga atau sifat dari suatu barisan saat indeks mendekati tak hingga.

Nilai lim 𝑥→ 𝜋 3 2 tan 𝑥−sin 𝑥 cos 𝑥 = ⋯.

120 limit fungsi trigonometri 1 sman 12 makassar soal dan pembahasan limit fungsi trigonometri 1. Berikut adalah kedua contoh dibawah ini yang menggambarkan sifat. Hasilnya yaitu = 4/2 = 2 10. tentukan= … pembahasannya: Limitdidalam konsep ilmu matematik biasa digunakan untuk menjelaskan suatu sifat dari suatu fungsi, saat agumen telah mendekati pada suatu titik tak terhingga atau sifat dari suatu barisan saat indeks mendekati tak hingga. 3 3 18 3 lim 2 2 = − + − → x x x x x jawab. Pada pelajaran matematika, limit biasanya mulai dipelajari saat pengenalan terhadap kalkulus, dan untuk memahami konsep limit secara menyeluruh bukan sesuatu yang mudah untuk dilakukan. 0 8 1 4 4 1 4 2 lim 3 2 = + − = + − → x x x 2. See full list on rumusbilangan.com Tentukanlah sebuah nilai dari = … pembahasannya: Dalam kasus di mana , f disebut kontinyu pada x = c. Atau bisa juga diambil contoh di mana f(x) tidak ter. Hasilnya = 6/5 2. tentukan nilai dari: = … pembahasannya: Kita kerjakan dengan menggunakan rumus:

Tentukanlah nilai dari = … pembahasannya: Soal 14 hitunglah nilai dari limit fungsi aljabar berikut ini: 1 4 2 lim 3 2 = + − → x x x jawab : Atau bisa juga diambil contoh di mana f(x) tidak ter. 3 3 18 3 lim 2 2 = − + − → x x x x x jawab.

Assalamu Alaikum Soal Dan Pembahasan Limit Fungsi Cara Pemfaktoran
Assalamu Alaikum Soal Dan Pembahasan Limit Fungsi Cara Pemfaktoran from 3.bp.blogspot.com
Hasilnya = 2/4 = 1/2 4. Soal 15 tentukanlah nilai limit dari : 3 3 18 3 lim 2 2 = − + − → x x x x x jawab. Hasilnya yaitu = 4/2 = 2 10. tentukan= … pembahasannya: Berikut adalah kedua contoh dibawah ini yang menggambarkan sifat. Hasilnya = 6/5 2. tentukan nilai dari: = … pembahasannya: Semoga bermanfaat … sumber : Namun, kasus ini tidak selalu berlaku.

Apabila f(x) merupakan fungsi real dan cadalah bilangan real, maka bentuk rumusnya yaitu:

Limit fungsi aljabar yang akan kita bahas adalah limit bentuk tertentu dan limit bentuk tak tentu. Limitdidalam konsep ilmu matematik biasa digunakan untuk menjelaskan suatu sifat dari suatu fungsi, saat agumen telah mendekati pada suatu titik tak terhingga atau sifat dari suatu barisan saat indeks mendekati tak hingga. Soal 15 tentukanlah nilai limit dari : Semoga bermanfaat … sumber : Identitas trigonometri yang digunakan adalah cosinus sudut rangkap, seperti terlihat pada persamaan di bawah. See full list on rumusbilangan.com Hasilnya yaitu = 4/2 = 2 10. tentukan= … pembahasannya: Limit biasa dipakai dalam kalkulus dan cabang lainnya dari analisis matematika untuk mencari turunan dan kontinyuan. Nilai lim 𝑥→ 𝜋 3 2 tan 𝑥−sin 𝑥 cos 𝑥 = ⋯. 1 4 2 lim 3 2 = + − → x x x jawab : 3 3 18 3 lim 2 2 = − + − → x x x x x jawab. Apabila semakin x mendekati 2, maka nilai f(x) mendekati 0.4, dan sebab itu . Apakah limit digunakan dalam kalkulus?

Posting Komentar untuk "Soal Latihan Limit Fungsi : Soal Soal Latihan Limit Fungsi Aljabar / Tentukan nilai dari = … pembahasannya:"